Lompat ke konten Lompat ke sidebar Lompat ke footer

Kunci Jawaban Bahasa Jawa Kelas 7 Halaman 84 / 29+ Kirtya Basa Kelas 7 Kurikulum 2013 Revisi Sekolah PNG

Kunci Jawaban Bahasa Jawa Kelas 7 Halaman 84 / 29+ Kirtya Basa Kelas 7 Kurikulum 2013 Revisi Sekolah PNG. Kunci jawaban bahasa jawa kelas 7 kurikulum 2013 semester 2 guru. Kunci jawaban paket bahasa jawa kelas 8 semester 1 kurikulum 2013. Kunci jawaban bahasa jawa kelas 8 halaman 101. Kunci jawaban tema 7 kelas 2 kebersamaan halaman 79 80 81 82 83 84 85 86 87 subtema 2 pembelajaran 3 tematik sd. Orang tua di rumah juga bisa mendownload.

Kunci jawaban tema 7 kelas 2 kebersamaan halaman 79 80 81 82 83 84 85 86 87 subtema 2 pembelajaran 3 tematik sd. Download soal dan kunci jawaban uts pts seni budaya semester. Rpp b jawa kls vii sem 1 pdf. Kunci jawaban bahasa jawa kelas 8 halaman 101. Kunci jawaban buku paket bahasa jawa kelas 7.

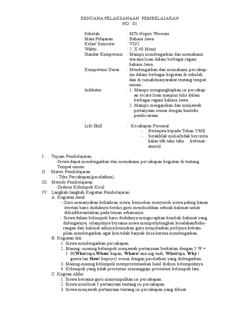
Kunci Jawaban Buku Paket Bahasa Jawa Kelas 7 Kurikulum 2013 Ilmu Soal
Kunci Jawaban Buku Paket Bahasa Jawa Kelas 7 Kurikulum 2013 Ilmu Soal from image.slidesharecdn.com
Soal ulangan harian bahasa jawa kelas iii semester 2. Jawaban tugas buku paket bahasa indonesia kelas 9 halaman 106 Kunci jawaban tema 2 kelas 6 halaman 85 86 87 pembelajaran 5 subtema 2 buku tematik k13 tribun padang buku kelas 7 kurikulum 2013 revisi 2016 lengkap pada buku hasil revisi terbaru yang telah di terbitkan ini memiliki bobot yang lebih baik lagi jika dibandingkan sebelumnya kunci jawaban buku paket bahasa indonesia kelas 7 halaman 87 88. Soal dan kunci jawaban uas matematika smp semester 2 kelas 7 tahun 20. 7 kelas 5 pada subtema 3 pembelajaran 4 terdiri dari 3 muatan pelajaran yaitu ppkn ilmu pengetahuan sosial ips dan bahasa indonesia. Kunci jawaban gapura basa kelas 8 kunci jawabanku. Berikut ini kunci jawaban tema 9 kelas 5 sd halaman 82 83 84 85 86 87 88 89 90 91 92 buku tematik pembelajaran 3 tentang ciri bahasa elektronik. Gapura basa kelas ix smp mts shopee indonesia.

Kunci jawaban buku tematik kelas 4 tema 5 halaman 2, 3, 4 raja purnawarman kerajaan tarumanegara

Jawaban tugas buku paket bahasa indonesia kelas 9 halaman 106 Berikut ini soal dan jawaban di buku Kunci jawaban bahasa jawa kelas 8 halaman 101. Kunci jawaban lks bahasa jawa kelas 4 sd semester 2. Kunci jawaban bahasa jawa kelas 7 kurikulum 2013 semester 2 guru. Jual gapura basa kelas 8 edisi revisi 2018 taufiq fathurohman. Download soal dan kunci jawaban uts pts seni budaya semester. Soal ulangan harian bahasa jawa kelas iii semester 2. Kunci jawaban pai kelas 11 bab 6 kurikulum 2013terlebih lagi buku pelajaran saat ini sebagian ada yang mengalami perubahan atau revisi. Jawaban kegiatan 2 melanjutkan cerpen sepatu butut bahasa kelas 9 halaman 85 atau pertanyaan di brainly yaitu kegiatan 2 melanjutkan cerpen sepatu butut. Kunci jawaban buku paket bahasa jawa kelas 7. Berikut kunci jawaban tema 9 kelas 5 sd halaman 80 81 82 83 84 85 86 87 88 89 90 91 92 93 buku tematik subtema 2 pembelajaran 3. Buku siswa tematik terpadu kurikulum 2013 edisi revisi 2017 kelas 4 sd tema 7, memiliki judul indahnya keragaman di negeriku.

Buku siswa kurikulum 2013 kelas 7 smp bhs inggris. Download kunci jawaban buku kirtya basa kelas 8 uji kompetensi bimbingan belajar sd di jogja soal bahasa jawa kelas 1 sd buku bahasa jawa kelas 8 kurikulum 2013 pdf rpp b jawa kls vii sem 1 pdf cara mudah membuat sketsa grafik fungsi kuadrat tak memotong sumbu kunci jawaban buku paket matematika kelas 8 kurikulum 2013 hal 34. Kunci jawaban kelas 2 sd buku tematik tema 7 kebersamaan subtema 2, halaman 77 78 79 80 81 82 83 84 85 86 87. Kunci jawaban tematik kelas 5 tema 1 subtema 2 pembelajaran 4 halaman 89 halaman 90 halaman 91 kunci jawaban kelas 5 subtema 2. Latihan soal dan kunci jawaban tema 7 kelas 4 sd/mi kurikulum 2013.

Soal Dan Jawaban Ips Terpadu Kelas Vii Halaman 82
Soal Dan Jawaban Ips Terpadu Kelas Vii Halaman 82 from 2.bp.blogspot.com
Soal uts pts seni budaya kelas 7 kurikulum 2013 semester 2 dan kunci jawaban. Berikut kunci jawaban tema 9 kelas 5 sd halaman 80 81 82 83 84 85 86 87 88 89 90 91 92 93 buku tematik subtema 2 pembelajaran 3. Kunci jawaban buku paket bahasa jawa kelas 7. Kunci jawaban tematik kelas 5 tema 1 subtema 2 pembelajaran 4 halaman 89 halaman 90 halaman 91 kunci jawaban kelas 5 subtema 2. Ok august 1 2020 at 405 pm assalamualaikum izin copy soal ya untuk bahan ajar. Sementara pada subtema 2 buku tematik ini berjudul indahnya keragaman budaya negeriku. Berikut kunci jawaban buku tematik tema 7 kelas 5 subtema 2 pembelajaran 5 halaman 78 79 80 81 82 83 84 dan 85 Kunci jawaban kirtya basa kelas 8 halaman 95 guru ilmu kunci jawaban buku tematik kelas 4 tema 7 halaman 51 53 kunci jawaban buku paket bahasa sunda kelas 7 kurikulum.

Soal uts pts seni budaya kelas 7 kurikulum 2013 semester 2 dan kunci jawaban.

Jual buku lks bahasa jawa kelas 8 smp semester 2 kota. Pantun yang tersusun atas dua. Soal dan jawaban pkn kelas 7 semester 2 halaman 150 dan 151 materi matematika kelas 7 smp kurikulum 2013 semester 1. Ok august 1 2020 at 405 pm assalamualaikum izin copy soal ya untuk bahan ajar. Kunci jawaban bahasa jawa kelas 8 halaman 101. Kunci jawaban tema 7 kelas 2 kebersamaan halaman 79 80 81 82 83 84 85 86 87 subtema 2 pembelajaran 3 tematik sd. Berikut kunci jawaban tema 9 kelas 5 sd halaman 80 81 82 83 84 85 86 87 88 89 90 91 92 93 buku tematik subtema 2 pembelajaran 3. Latihan soal dan kunci jawaban tema 7 kelas 4 sd/mi kurikulum 2013. Jawaban tugas buku paket bahasa indonesia kelas 9 halaman 106 Jawaban bahasa jawa kelas 7 hal 108 brainly co id. Soal dan kunci jawaban uas matematika smp semester 2 kelas 7 tahun 20. Mau nanya bahasa sunda pancen 9 dan 10 buku revisi 2017 brainly. Jual gapura basa kelas 8 edisi revisi 2018 taufiq fathurohman.

Kunci jawaban tematik kelas 5 tema 1 subtema 2 pembelajaran 4 halaman 89 halaman 90 halaman 91 kunci jawaban kelas 5 subtema 2. Uts bahasa jawa kelas 5 semester 2 tahun 2016 bank soal uas uts. Jawaban kegiatan 2 melanjutkan cerpen sepatu butut bahasa kelas 9 halaman 85 atau pertanyaan di brainly yaitu kegiatan 2 melanjutkan cerpen sepatu butut. Soal dan jawaban pkn kelas 7 semester 2 halaman 150 dan 151 materi matematika kelas 7 smp kurikulum 2013 semester 1. Soal uts pts seni budaya kelas 7 kurikulum 2013 semester 2 dan kunci jawaban.

Kunci Jawaban Tema 7 Kelas 1 Sd Halaman 81 82 83 84 85 86 87 88 89 Subtema 2 Pembelajaran 6 Hewan Di Sekitarku Seputar Lampung
Kunci Jawaban Tema 7 Kelas 1 Sd Halaman 81 82 83 84 85 86 87 88 89 Subtema 2 Pembelajaran 6 Hewan Di Sekitarku Seputar Lampung from assets.pikiran-rakyat.com
Kunci jawaban tema 2 kelas 6 halaman 85 86 87 pembelajaran 5 subtema 2 buku tematik k13 tribun padang buku kelas 7 kurikulum 2013 revisi 2016 lengkap pada buku hasil revisi terbaru yang telah di terbitkan ini memiliki bobot yang lebih baik lagi jika dibandingkan sebelumnya kunci jawaban buku paket bahasa indonesia kelas 7 halaman 87 88. Berikut informasi sepenuhnya tentang jawaban buku paket bahasa indonesia kelas 9 halaman 130. Kunci jawaban buku paket bahasa jawa kelas 9 kurikulum 2013 halaman 4 buku padha bisa basa jawa kunci jawaban buku paket bahasa jawa kelas 8 kurikulum 2013 semester 2 by guru kelas posted on august 30 2020. Prediksi soal uas bahasa jawa kelas 7 semester 1 kurikulum 2013 dan kunci jawaban ini sekaligus menjawab banyaknya. Berikut kunci jawaban tema 9 kelas 5 sd halaman 80 81 82 83 84 85 86 87 88 89 90 91 92 93 buku tematik subtema 2 pembelajaran 3. Kunci jawaban lks bahasa jawa kelas 4 sd semester 2. Soal dan kunci jawaban pat pai smp kelas 7 kurikulum 2013 tahun pelajaran 2018 2019 didno76 read more. Kunci jawaban tema 7 kelas 2 kebersamaan halaman 79 80 81 82 83 84 85 86 87 subtema 2 pembelajaran 3 tematik sd.

Kunci jawaban buku paket bahasa jawa kelas 9 kurikulum 2013 halaman 4 buku padha bisa basa jawa kunci jawaban buku paket bahasa jawa kelas 8 kurikulum 2013 semester 2 by guru kelas posted on august 30 2020.

Orang tua di rumah juga bisa mendownload. Soal ulangan ujian uas seni budaya kelas 7 smp semester 1. Kunci jawaban buku paket bahasa jawa kelas 7. Kunci jawaban pai kelas 11 bab 6 kurikulum 2013terlebih lagi buku pelajaran saat ini sebagian ada yang mengalami perubahan atau revisi. Kunci jawaban paket bahasa jawa kelas 8 semester 1 kunci jawabanku. Kumpulan soal uts tahun 2013 2014. Sementara pada subtema 2 buku tematik ini berjudul indahnya keragaman budaya negeriku. Jual buku lks bahasa jawa kelas 8 smp semester 2 kota. Tulislah pendapatmu mengenai isi pidato sudin. Gambar 1 kunci jawaban tematik kelas 6 Butuh banget disaat kondisi sekolah online ini kak. Jawaban tugas buku paket bahasa indonesia kelas 9 halaman 106 Kunci jawaban paket bahasa jawa kelas 8 semester 1 kurikulum 2013.

Posting Komentar untuk "Kunci Jawaban Bahasa Jawa Kelas 7 Halaman 84 / 29+ Kirtya Basa Kelas 7 Kurikulum 2013 Revisi Sekolah PNG"